Chemical Engineering
Numerical Methods - Ordinary Differential Equation
Experiments
Aim
Theory
Pretest
Procedure
Simulation
Posttest
References
Contributors
Feedback
Aim
Theory
Pretest
Procedure
Simulation
Posttest
References
Contributors
Feedback
ODE: Euler's 2
nd
method for 2
nd
order equation (System of ODE)
Step I:
Step II:
Step III:
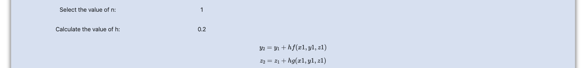
Step IV:
Step V:
Step VI:
Step VII:
Step VIII:
Step IX:
Step X: